Lompat ke konten Lompat ke sidebar Lompat ke footer

Limit Fungsi Aljabar Pangkat 3 - Fungsi Aljabar Limit Turunan Contoh Soal / Tulisan ini terkait dengan tulisan pada kategori.

Limit Fungsi Aljabar Pangkat 3 - Fungsi Aljabar Limit Turunan Contoh Soal / Tulisan ini terkait dengan tulisan pada kategori.. Untuk kebutuhan ini dirancang teorema atau pernyataan mengenai turunan dasar, turunan dari operasi aljabar pada dua fungsi, aturan rantai untuk turunan fungsi komposisi, dan juga turunan fungsi invers. Tentukan nilai limit fungsi aljabar dari. Pengertian limit supaya lebih memahami pengertian limit, berikut disajikan contoh: Pembahasan contoh soal bentuk akar nomor 4. Berikut ini adalah kumpulan soal latihan limit tak tentu fungsi aljabar yang penyelesaiannya menggunakan faktorisasi.

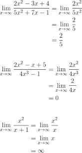
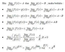
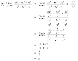
Menggunakan sifat limit fungsi untuk menghitung bentuk tak tentu fungsi aljabar dan trigonometri. Sedangkan untuk limit fungsi aljabar di mana x mendekati tak berhingga penyelesainnya yaitu dengan dibagi variabel pangkat tertinggi dan dikalikan sekawan akarnya. Menggunakan konsep limit fungsi dan turunan fungsi dalam pemecahan masalah kompetensi dasar: 74xx 52x3x2x lim 3 23 x = 1 2 = 2 6. Besar pangkat pembilang dan penyebut dalam soal ini adalah 3, maka.

Limit Fungsi Aljabar Definisi Sifat Metode Trigonometri Teorema
Limit Fungsi Aljabar Definisi Sifat Metode Trigonometri Teorema from www.yuksinau.id
Kirimkan ini lewat email blogthis! Cara menghitung nilai x mendekati satu titik Adakalanya sebuah fungsi limit f(x). 3 limit fungsi aljabar jika diketahui fungsi f x dan. Soal limit fungsi aljabar un 2012 pembahasan ubah bentuk akarnya ke bentuk pangkat agar lebih mudah diturunkan seperti ini turunkan atas bawah kemudian masukkan angka 3 nya soal no. Penyajian rumus/simbol matematika di sini menggunakan latex sehingga lebih smooth dari segi tampilan. Check spelling or type a new query. Contoh soal limit trigonometri akar contoh soal limit trigonometri akar selasa 25 desember 2018 0049 informasi lowongan yang anda cari.

Untuk limit dengan batas x , yang harus diperhatikan adalah pangkat tertingginya.

Metode membagi pangkat tertinggi penyebut. Tentukan nilai limit fungsi aljabar dari. Pembahasan contoh soal bentuk akar nomor 4. We did not find results for: Atau dengan kata lain merupakan suatu polinomial orde tiga. Menggunakan secara intuitif arti limit fungsi di suatu titik dan di takhingga. Hitunglah nilai limit fungsi aljabar berikut. Hasil perhitungan dari limit fungsi aljabar tidak boleh 0/ 0 karena nilainya tidak akan terdefinisi. Sebuah fungsi f(x) mempunyai jika dan hanya jika untuk sembarang bilangan real maka terdapat bilangan real sedemikian hingga memenuhi: 28++ contoh soal limit akar pangkat 3. Arial verdana wingdings tahoma sample microsoft equation 3.0 adobe photoshop image slide 1 slide 2 slide 3 slide 4 slide 5 limit fungsi aljabar slide 7 slide 8 slide 9 slide 10 slide 11 slide 12 slide 13 slide 14 slide 15 slide 16 slide 17 slide 18 slide 19 slide 20 slide 21 slide 22 slide 23 slide 24 slide 25 slide 26 slide 27 slide 28 slide. 718281, 2 e 1 lim n n 1 n dari definisi dapat dibuktikan teorema berikut : Nilai suatu pecahan akan semakin besar ketika penyebutnya semakin kecil tetapi pembilangnya semakin besar.

Dengan hubungannya terhadap bentuk limit kedua terdapat beberapa metode dalam menentukan nilai limit fungsi aljabar yakni metode atau cara membagi dengan pangkat tertinggi penyebut serta metode mengalikan dengan faktor sekawan. 1 = 5 2 5. Turunan bisa kita tentukan tanpa adanya proses limit. 4 soal limit fungsi aljabar un 2012 pembahasan ubah bentuk akarnya ke bentuk pangkat agar lebih mudah diturunkan seperti ini turunkan atas bawah kemudian masukkan angka 3 nya soal no. By admin selasa, 09 juni 2020 add comment.

Contoh Soal Limit Pangkat 3
Contoh Soal Limit Pangkat 3 from yohanasilalahi.files.wordpress.com
Maybe you would like to learn more about one of these? We did not find results for: Jadi, nilai dari limit fungsi aljabar tersebut, 2. Logika praktis pengerjaan limit kompasiana com from www.kompasiana.com. Matematika by duwiyatno di oktober 05, 2019. Integral dari suatu fungsi kubik adalah fungsi pangkat empat (kuartik). Tapi sebelumnya catat terlebih dahulu rumus dibawah ini : Definisi limit berikut adalah definisi limit menurut austin louis cauchy:

Sekian penjelasan kami tentang limit tak hingga kali ini.

Perhatikan bentuk limit di bawah ini. Untuk limit dengan batas x , yang harus diperhatikan adalah pangkat tertingginya. Berikut ini adalah contoh soal dan pembahasan super lengkap mengenai limit khusus fungsi aljabar. Metode membagi pangkat tertinggi penyebut. Sekian penjelasan kami tentang limit tak hingga kali ini. 4 soal limit fungsi aljabar un 2012 pembahasan ubah bentuk akarnya ke bentuk pangkat agar lebih mudah diturunkan seperti ini turunkan atas bawah kemudian masukkan angka 3 nya soal no. Jadi, nilai dari limit fungsi aljabar tersebut, 2. Matematika by duwiyatno di oktober 05, 2019. Tapi sebelumnya catat terlebih dahulu rumus dibawah ini : Besar pangkat pembilang dan penyebut dalam soal ini adalah 3, maka. Tulisan ini terkait dengan tulisan pada kategori. Dengan kaitanya pada bentuk limit kedua ada beberapa metode dalam menentukan nilai limit fungsi aljabar yaitu metode membagi dengan pangkat tertinggi penyebut dan metode mengalikan dengan faktor sekawan. Definisi dan pengertian limit 1.1.

Hasil perhitungan dari limit fungsi aljabar tidak boleh 0/ 0 karena nilainya tidak akan terdefinisi. Soal limit fungsi aljabar un 2012 pembahasan ubah bentuk akarnya ke bentuk pangkat agar lebih mudah diturunkan seperti ini turunkan atas bawah kemudian masukkan angka 3 nya soal no. Turunan dari suatu fungsi kubik adalah suatu fungsi kuadrat. Perhatikan contoh penyelesaian sistematisnya di bawah ini. X = a film kawat 1 x = a film y= f(x) l1 x x bab 7 limit fungsi 2.

Limit Fungsi Aljabar Tak Terhingga
Limit Fungsi Aljabar Tak Terhingga from maths.id
Definisi limit berikut adalah definisi limit menurut austin louis cauchy: Limit di atas memiliki arti jika x mendekati tak terhingga, 1/x akan mendekati berapa? perhatikan bahwa 1/x berupa pecahan. Soal dan pembahasan limit fungsi aljabar dan trigonometri. Besar pangkat pembilang dan penyebut dalam soal ini adalah 3, maka. Jadi nilai limit fungsi aljabar, contoh (3) : Seorang guru matematika yang hobi menulis tiga bahasa, yaitu bahasa indonesia. Contoh soal limit x pangkat 3. Integral dari suatu fungsi kubik adalah fungsi pangkat empat (kuartik).

Maybe you would like to learn more about one of these?

Persamaan pangkat 3 fungsi kubik aljabar rumus soal jawaban persamaan matematika belajar. Ubah dulu bentuk akar jadi bentuk pangkat kl akar pangkat dua itu sama saja dengan pangkat setengah jadinya. Dengan kaitanya pada bentuk limit kedua ada beberapa metode dalam menentukan nilai limit fungsi aljabar yaitu metode membagi dengan pangkat tertinggi penyebut dan metode mengalikan dengan faktor sekawan. Definisi dan pengertian limit 1.1. Limit fungsi aljabar 3 part 1 3 limit fungsi aljabar jika diketahui fungsi f x dan. Hitunglah nilai limit fungsi aljabar berikut. Terdapat 4 metode dalam mencari fungsi limit aljabar, berikut ini adalah penjelasan secara lengkapnya. Sekian penjelasan kami tentang limit tak hingga kali ini. 1 = 5 2 5. Jadi nilai limit fungsi aljabar, contoh (3) : Hasil perhitungan dari limit fungsi aljabar tidak boleh 0/ 0 karena nilainya tidak akan terdefinisi. Tapi sebelumnya catat terlebih dahulu rumus dibawah ini :

Posting Komentar untuk "Limit Fungsi Aljabar Pangkat 3 - Fungsi Aljabar Limit Turunan Contoh Soal / Tulisan ini terkait dengan tulisan pada kategori."